Assistant Professor Salary Ugc
What is the salary of UGC NET qualified Assistant Professor. UGC NET Study Materials 2020-21.

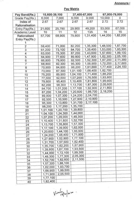
Ugc Pay Review Committee Recommendations For University And College Teachers 20 Pay Hike Performance Linked Promotion Etc Sa Post
There are a few other factors on which the salary of an electronics engineer depends such ass hisher qualifications working skills working area recruiters etc.

Assistant professor salary ugc. Eligibility criteria for the appointment of post of Assistant Professor as prescribed by the UGC 313 The teacher should not be more than 50 years of age relaxable by 5 years in the case of women teachers and teachers belonging to SCSTMinority Communities on the date of application. In 800 BC the Indian surgeon Sushruta wrote Sushruta Samhita in Sanskrit language and describes 76 ocular diseases as well as several ophthalmological surgical techniques and instruments. UGC NET National Eligibility Test is a national-level exam carried out on account of the University Grants Commission by the NTA National Testing AgencyIt is one of the toughest and popular competitive exams to crack.
Ophthalmology field requires a lot of skills owing to the diversity of the specialty. New Revised CBSE Syllabus 2021-22 PDF -. Online registration process will start on 19082020 and close on 26082020.
CSIR NET 2021 notification is expected to release soon. 314 The teacher should have at least a second class Masters Degree with minimum 55 marks 50 marks for. OPSC Recruitment 2021.
How to become a professor in IIT and what is the salary package. Additionally after gaining enough experience one can easily earn attractive salary packages in this field. UGC NET exam is conducted by to determine the eligibility of candidates for Junior Research Fellowship JRF and the post of Assistant Professor in Indian universities and colleges.
The CSIR NET notification will contain important details regarding the exam including the application process eligibility criteria exam dates exam pattern syllabus and others. Following are some relative salary figures for different types of electronics engineer. Department of Commerce SNDT Womens University for Academic Year 2021-22.
Thus before starting your UGC NET preparation you need to have knowledge of the best books notes and other study material. The increment for Assistant Professor Salary Associate Professor Salary Professor Salary as well as for Vice-chancellor salary would range from 22 to 28. In December 2019 7.
Online Applications are invited from eligible candidates for the Posts of Assistant Professors in Architecture Business Management Commerce Computer Science Hospital Administration Laws at Guru Nanak Dev University Amritsar and its Regional Campuses on contractual basis for the session 2020-21. To become a professor in IIT you must have 10 years of teaching experience or research in your. The notification will be released by the NTA on the official website.
Applications are invited for the following Assistant Professor post on CHB salary for MCom Programme in P. Every year lakhs of candidates appear for UGC NET however only a few are able to crack the exam. Starting Salary per.
As per the notification it has been decided that UGC NET or JRF qualified guest lecturers in Government and aided colleges will get INR 1750 per day and maximum INR 43750 for 25 working days in a month. This field needed surgical medical and patient care skills range from paediatric to geriatric population. Assistant Professor generally makes Rs37000 per month but the salary package may vary according to the universitycollege.
Notification Out for 385 Assistant Professor Posts opscgovin Check Application Process 2 hrs ago 9th 10th 11th 12th.

Harvard Assistant Professor Salary Jobs Ecityworks

Da Hra Pf Gross Salary Of Assistant Professor As Per 7th Cpc Youtube

What Is The Salary Of A Ugc Net Qualified Person Quora
7th Cpc Revised Ugc Pay Scales To The Teachers Civilian Academic Officers Of Noa Khadakwasla And Acc Wing Ima Dehradun Dopt Central Government Employees

Assistant Professor Salary Slip Statement Ugc 7th Pay In College University 2020 Youtube
What Is The Average Salary Of A College Professor In India Quora

New Ugc Pay Scale For Assistant Professor 7th Cpc Teachers Assistant Professor Salary Pay Scale Calculator

Haryana First To Give College Univ Teachers 7th Pay Panel

New Ugc Pay Scale For Assistant Professor 7th Cpc Teachers Assistant Professor Salary Pay Scale Calculator
What Is The Pay Scale For Assistant Professor

Shashi Tharoor On Twitter A College Professor In Kerala Sent Me This Evidence Of The Financial Worth Of Her Educational Qualifications While We All Applaud That Sweepers Are Paid Well Studying Long

Ugc 7th Pay Scale Jobs For Assistant Professor Associate Professor Professor Apply From Any State Youtube

Ugc Pay Hike Plan Telegraph India

7th Cpc Pay Matrix And Career Advancement Scheme For Teachers Civilian Academic Officers Of Nda Ima Mod Order Dated 18th Feb 2020 Central Govt Employees 7th Pay Commission Staff News

Shashi Tharoor Shares Evidence Of Salary Disparity Among Government Employees Prompts Debate Trending News The Indian Express

How Much Money Can An Assistant Professor In Nit Or Iit Get Per Month Quora

Original Salary Slip April 2021 I Assistant Professor Salary Slip As Per Ugc 7th Pay Scale I Salary Youtube

Assistant Professor Salary Slip Statement Ugc 7th Pay In College University 2020 Youtube

How Much Do Iim Professors Associate Professors And Assistant Professors Get Paid Quora
Post a Comment for "Assistant Professor Salary Ugc"